За девять месяцев 2021 года банковская система страны сократилась на 33 кредитные организации. Четырех из них не стало в результате слияний (это окончание давно начатых процессов). Шесть приняли решение о добровольной ликвидации (крупнейший — Нордеа банк, имеющий скандинавские корни), причем четыре из них закончили прошлый год с убытками. У 23 банков отозваны лицензии, но из них только три были убыточны в 2020 году. Урало-Западносибирский регион лишился двух банков: екатеринбургской «Нейвы» и пермского Проинвестбанка.
В банковской системе страны по итогам девяти месяцев оказался убыточен каждый пятый банк. Несмотря на внушительную цифру, это лучший показать с 2014 года, не считая 2019-го (сравниваются также девять месяцев). В первой сотне убыточны всего восемь.
Что имеем
Прежде чем говорить о динамике показателей банковской системы и отдельных групп, отметим вес этих групп. Активы банковской системы на 77% контролируются государством (на Сбербанк и его дочку приходится 32%), на 6% — иностранным капиталом и на 17% — российским частным.
В региональном разрезе 96% составляют банки федерального уровня (всего 76 организаций), 2% — 114 банков московского региона и чуть менее 2% — 146 региональных банков (их мы считаем не по прописке: крупнейшие банки нашего рейтинга отнесены к федеральным).
Активы банков за три квартала увеличились на 9% (здесь и далее — без учета переоценки валютной составляющей). Последние шесть лет, кроме 2020-го года, такого прироста не было и по итогам года, правда, и инфляция в этом году выше, чем последние пять лет.
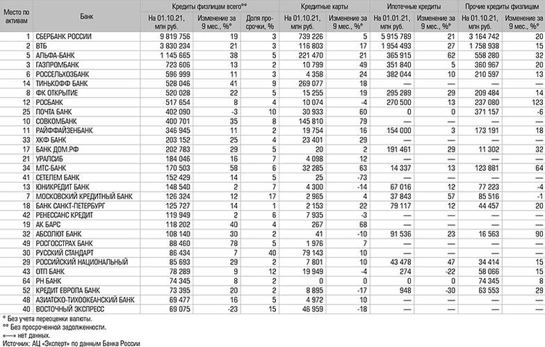
Если посмотреть на динамику кредитов, налицо кредитный бум: уже по итогам девяти месяцев достигнуты показатели всего прошлого года, не говоря о предшествующих.
На 9% вырос корпоративный кредитный портфель. При этом если для государственных и крупных частных банков большое значение имеют программы с господдержкой, то у региональных банков и иностранных дочек их нет. Тем не менее эти две группы также показали рост — 14% и 12% соответственно. Кредиты ИП после завершения программ поддержки занятости снизили темпы роста и показали лишь плюс 7% (по итогам 2020 года — 22%). При этом у частных банков, включая региональные и иностранные дочки, рост под 20%. То есть спрос на кредиты есть. В отраслевом разрезе рост выше в сфере торговли, услуг, строительства, чем в промышленности: это признак усиления частного сектора экономики, включая малый бизнес. Наибольший относительный прирост показывает строительство жилья — портфель увеличился на 60%. Это связано с переходом на новый принцип финансирования строительства через эскроу-счета, которые выросли с начала года на 124%.
Вдвое большую динамику продемонстрировали кредиты физлицам — 18,5%, в том числе ипотечные — 20,6%. Задолженность по кредитным картам — плюс 14,5%, по прочим потребительским кредитам — 18%. Ипотека бьет рекорды из-за низких ставок по госпрограммам, прежде всего на новостройки (на них в отдельные месяцы приходится до 40% выдач), а также избытка денег у обеспеченной части населения. Из-за ковидных ограничений деньги, которые тратились на заграничные поездки, направлены на покупку жилья и автомобилей (а с этим тоже проблемы — см. «Лихорадка на колесах», с. 16), а низкие ставки по вкладам стимулируют не копить, а тратить (в том числе в кредит). Ипотека стимулировала рост цен на недвижимость, что отразилось и на среднем размере кредита, который увеличился с начала года на 14% (за весь прошлый год рост составил 12%, в 2019 году — 9%).
Объем срочных вкладов упал на 4,5%.
Причем из-за роста текущих счетов — на 15%, а счетов эскроу — на 124% (большая их часть приходится на госбанки) в целом рост вкладов составил 5%, что, впрочем, ниже инфляции. Де-факто средства граждан в банках сокращаются.
Беспокойство регулятора давно вызывает закредитованность потребительскими кредитами и займами МФО. С подачи ЦБ на обсуждении в парламенте находится законопроект, позволяющий ограничивать выдачу кредитов отдельными банками и отдельным категориям граждан.
Тень кризиса
В целом банковская система показывает неплохие результаты. Прибыль по сравнению с аналогичным периодом прошлого года выросла на 65% (в 2020 году по сравнению с 2019-м — падение на 12%). Чистые процентные доходы — на 13% (причем у банков всех групп), чистые комиссионные — на 27% (здесь больше всего досталось крупным частным банкам). Расходы на зарплату поднялись на 13%, управленческие расходы — на 25%, на рекламу — статья относительно небольшая, но показательная — в полтора раза.
Тревогу вызывает падение фондового рынка (подробнее о рынке см. «Частный инвестор разворачивает историю», с. 12) и связанная с этим отрицательная переоценка портфелей ценных бумаг. Ключевая ставка, пройдя шесть ступеней повышения, поднялась в течение года с 4,25 до 7,5%. И ожидается ее дальнейшее увеличение. Так нехотя регулятор признает наличие инфляции значительно большей, чем целевая в 4%. В реальность текущего значения в 8% мало кто верит, но статистика при желании творит чудеса. (Напомним, квартиры в корзину не входят, только аренда; автомобили — входят, но что такое в понятии Росстата автомобиль, как, впрочем, и все другое, — большой вопрос.)
В следующем году банки будут испытывать давление на капитал, который всегда не успевает за ростом активов (по итогам девяти месяцев — плюс 7%, а в прошлом году — всего 4%), а с падением фондового рынка будет отрицательная переоценка. Это означает ограничение в кредитовании (нужно укладываться в нормативы), что повлечет сокращение процентных доходов. Кроме того, разворот ставок приведет к процентным ножницам, когда фиксированные ставки по кредитному портфелю окажутся ниже ставок по депозитам.
Если добавить к этому неизбежный рост проблемной задолженности, которая пока не проявила себя на фоне роста портфелей, то банки ожидает непростой год. Они успели подкопить жирок, но на сколько его хватит…
Мобильность как фактор
Современные финансовые технологии позволяют компаниям адаптировать бизнес в условиях пандемии, говорит управляющий Уральским филиалом ПСБ Ринат Иржанов
— Как ваши клиенты из сегмента МСП пережили период нового локдауна в конце октября этого года?
— Мы опасались, что на фоне роста заболеваемости и введения новых ограничений может произойти спад. Однако рассчитываемый нами индекс RSBI по итогам октября несколько вырос по сравнению с сентябрем и составил 53,2 пункта. Это говорит о том, что малый и средний бизнес научился адаптироваться к работе в условиях пандемии.
— Что помогает предпринимателям поддерживать операционную деятельность?
— Компании продолжают развивать удаленные каналы взаимодействия с контрагентами: уже более трети предпринимателей сегмента МСБ внедряют дистанционные способы продажи товаров. Таким же образом компании коммуницируют с банками, что позволяет поддерживать бизнес за счет пополнения оборотных средств в случае необходимости. В ПСБ доля онлайн-кредитования бизнеса составляет около 90%. Удаленно в нашем банке можно получить до 10 млн рублей на текущую деятельность в течение суток по ставке от 9,95% на срок 36 месяцев. Довольно большая группа клиентов пользуется кредитным предложением на базе продукта «Без бумаг Оборотный», который сформирован с использованием механизма льготного финансирования в рамках «Программы 1764». В данном случае учитываются индивидуальные финансовые показатели, и это позволяет компаниям полностью в автоматическом режиме без залога всего по двум документам получить средства на наиболее льготных условиях на любые цели.
Таким же образом компании получают и факторинговое финансирование. Услуга онлайн-факторинг — одна из наиболее востребованных в нашем банке. С ее помощью можно увидеть решение о финансировании менее чем за час после подачи заявки в личном кабинете. Так действуют региональные компании, поставляющие товар в федеральные торговые сети, а также поставщики нефтегазового, металлургического оборудования в нашем регионе.
По нашим наблюдениям, все больше предпринимателей используют в работе «электронный инкассатор»: эта технология позволяет учитывать выручку самостоятельно в любое удобное время. Такой сервис удобен для предприятий, где много расчетов проводится наличными.
Растет и объем платежей по QR-кодам через Систему быстрых платежей. Клиенты уже оценили удобство сервиса, особенно популярна эта услуга среди салонов красоты и маленьких магазинов. Она технологична и проста как для магазина, так и покупателя.
Чтобы облегчить ведение бизнеса в условиях пандемии, ПСБ совершенствует каналы коммуникаций, в частности мы запустили чат-банк в Telegram, а также сервис, который позволяет выставлять и оплачивать счета в мессенджере WhatsApp. В дальнейшем мы планируем расширять функционал чат-бота и интегрировать в него наиболее востребованные банковские услуги, включая кредитование.
У нас в регионе много компаний, которые регулярно участвуют в тендерах, для них критично оперативно оформлять банковские гарантии, и мы эту услугу тоже предоставляем онлайн. Компаниям также нужны недорогие ресурсы для развития бизнеса, и чтобы обеспечить эту потребность, ПСБ продолжает работать с программами господдержки бизнеса. В ноябре мы начали прием заявок на льготное кредитование новых клиентов из наиболее пострадавших отраслей «Без бумаг 3.0». Для действующих клиентов предодобренные предложения сразу доступны в личном кабинете интернет-банка.

